پیداکردن مقدار عبارت جبری توان دار به ازای مقادیر مشخصی برای متغیرها به این صورت است که باید عدد داده شده را به همراه علامت مثبت یا منفی اش بجای متغیر قرار دهیم. بهتر است …
مقدار عبارت جبری توان دار به ازای مقدار مشخصی برای متغیرها
پیداکردن مقدار عبارت جبری توان دار به ازای مقادیر مشخصی برای متغیرها به این صورت است که باید عدد داده شده را به همراه علامت مثبت یا منفی اش بجای متغیر قرار دهیم. بهتر است این عدد را داخل پرانتز بذاریم.
در پیدا کردن مقدار عبارت جبری توان دار باید توجه داشت که ابتدا باید جواب توان ها را بدست آوریم و سپس سایر محاسبات را انجام دهیم.
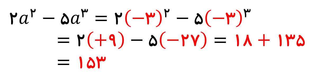
مثال: مقدار عبارت جبری توان دار زیر را به ازای a=-3 بدست آورید.
عدد ۳- را به جای a جایگزین کرده، ابتدا جواب توان ها را بدست می آوریم و سپس سایر موارد.

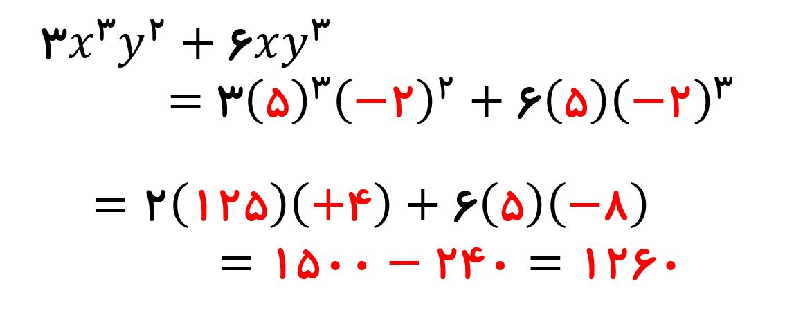
مثال: مقدار عبارت جبری توان دار زیر را به ازای x=5 و y=-2 بدست آورید.

به جای x عدد ۵ و به جای y عدد ۲- را همراه با پرانتز قرار می دهیم. ابتدا جواب توان ها را بدست آورده و سپس سایر محاسبات را انجام می دهیم.

دیدید که پیدا کردن مقدار یک عبارت جبری به همین سادگی انجام شد.
- آزمون فصل ششم ریاضی هشتم مثلث با پاسخ تشریحی
- رابطه فیثاغورس در مثلث قائم الزاویه و طریقه استفاده از آن
- شکل های هم نهشت و روش محاسبه مجهول در ضلع یا زاویه
- آزمون فصل پنجم ریاضی هشتم بردار و مختصات با پاسخ تشریحی
- حل معادله برداری به روش مختصاتی و پیدا کردن بردار مجهول
- جمع ترسیمی بردار ها در صفحه شطرنجی و محاسبات مختصاتی آنها
- تجزیه بردار بر روی دو راستای دلخواه به کمک رسم خطوط موازی
- مختصات بردار با طول و عرض و بردارهای واحد مختصاتی
- ضرب عدد در بردار به صورت ترسیمی و مختصاتی







خیلی هم عالی
ممنون بابت سایت خوبتون
و همچنین آقای فتاحی یکی از بهترین دبیرا هستند😊
هرجا هستید صحیح و سلامت باشید
(دانش اموز شما از مدرسه نرجس خاردان)
ممنون از سایت خوبتون
ولی یکم سطح بالاتر،اینا که خیلی ابتدایی عن
از سایت شما بعیده😒
عالی و همین طور سطح بالابودن
فهمیدیم تو ام درست خوبه😏
سلام ببخشید نمونه آخر جواب ۱۲۶۰ غلط هست