قبلا با بحث معادله ها در عبارات جبری آشنا شدیم. میدونیم منظور از حل معادله، پیدا کردن مجهول است. درمورد بردارها نیز همچین معادلاتی داریم که در آن ها مجهول فقط یک عدد نیست بلکه یک بردار است که باید طول وعرض آن بدست آید. بنابراین حل معادله برداری …
حل معادله برداری به روش مختصاتی
قبلا با بحث معادله ها در عبارات جبری آشنا شدیم. میدونیم منظور از حل معادله، پیدا کردن مجهول است. درمورد بردارها نیز همچین معادلاتی داریم که در آن ها مجهول فقط یک عدد نیست بلکه یک بردار است که باید طول وعرض آن بدست آید. بنابراین حل معادله برداری رو باید یاد بگیریم. به معادله های زیر توجه کنید.

مرحله به مرحله حل معادله برداری رو براتون توضیح میدیم:
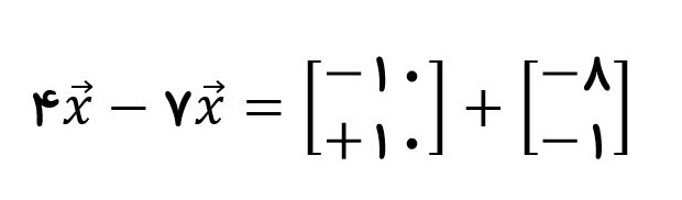
۱) عدد ۲- را ضرب میکنیم.

۲) جابجایی ها رو طبق فلش ها انجام میدیم و علامت ها رو قرینه میکنیم:


توجه کنید که ما علامت عددهای طول و عرض را قرینه میکنیم و قبل از کروشه علامت مثبت قرار میدهیم.
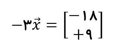
۳) سمت چپ تساوی رو ساده میکنیم و در سمت راست همه ی طول ها را باهم و همه عرض ها را با هم محاسبه می کنیم.

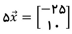
۴) طول و عرض مختصات سمت راست را برضریب بردار مجهول یعنی ۳- تقسیم می کنیم و به صورت زیریادداشت می کنیم.

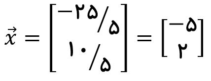
از حل معادله برداری مختصات بردار x بدست امده است.
مثال : اگر بردارهای
را داشته باشیم، از معادله زیر بردار x را بدست آورید.
![]()
پاسخ : توجه کنید که تنها مجهول این معادله x است و سایر عبارات همگی معلوم هستند. ۵x را سمت چپ تساوی نگه میداریم و ۶i-3j را به سمت راست تساوی منتقل کرده و قرینه می کنیم. همزمان مختصات بردارهای a و b را نیز جایگزین می کنیم.

عدد ۴ را در بردار a ضرب و جملات i و j را ساده میکنیم.

پیشنهاد میکنم درس ضرب عدد در بردار و مختصات i و j را مطالعه کنید.
عبارت i و j را به صورت مختصاتی می نویسیم. ضریب i مربوط به طول و ضریب j مربوط به عرض است.

در همه مختصات های سمت راست طول ها را با هم و عرض ها را باهم محاسبه می کنیم.

طول و عرض مختصات سمت راست را برضریب x یعنی ۵ تقسیم می کنیم.

جواب معادله بدست آمده است.
- جمع ترسیمی بردار ها در صفحه شطرنجی و محاسبات مختصاتی آنها
- جمع بردارها به روش متوالی و روش متوازی الاضلاع
- مختصات بردار با طول و عرض و بردارهای واحد مختصاتی
- تجزیه بردار بر روی دو راستای دلخواه به کمک رسم خطوط موازی
- ضرب عدد در بردار به صورت ترسیمی و مختصاتی
- حل تمرینات فصل پنجم ریاضی هشتم بردار و مختصات
- شکل های هم نهشت و روش محاسبه مجهول در ضلع یا زاویه







سلام میشه اینو حل کنید
حا
سلام میشه اینو حل کنین 3i+4j=
سلام
جواب مختصاتی با طول ۳ و عرض ۴ است
X=3i+2j
جواب بدید
GOOD
سلام امکان دارد جواب این معادله را بدهید
3x +3i+4j_=9
1
3x+3i+4j-1=9
اگر معادله این طور باشد:
3x=-3i-4j+1+9
3x=-3i-4j+10
x=-i-(4/3)j+(10/3)
با سلام
عبارت سمت راست منظورتون مختصاتی با طول 9 و عرض 1 است.
بنابراین سمت راست مساوی است با 9i+j
3x+3i+4j=9i+j
3x=9i+j-3i-4j
3x=6i-3j
x=2i-j